商品名: NKY® PVP K
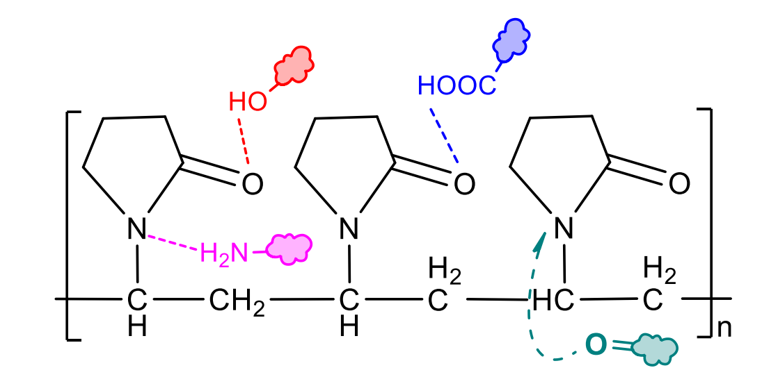
化学名称:聚乙烯吡咯烷酮
INCI/CTFA:PVP(Polyvinylpyrrolidone)
CAS NO.:9003-39-8
外观:白色粉末或无色透明液体。
气味:该产品具有淡淡的苦杏仁味、胺或氨水味。
产品详情
NKY® PVP规格型号:
| 产品名 | K值 | 固含量% | 灰分%max | pH值(10%水溶液) | 残单%max |
| NKY® PVP K15 | 13-18 | 95-100 | 0.1 | 3.0-7.0 | 0.1 |
| NKY® PVP K17 | 15-19 | 95-100 | 0.1 | 3.0-7.0 | 0.1 |
| NKY® PVP K25 | 23-28 | 95-100 | 0.1 | 3.0-7.0 | 0.1 |
| NKY® PVP K30 | 26-35 | 95-100 | 0.1 | 3.0-7.0 | 0.1 |
| NKY® PVP K60 | 55-65 | 95-100 | 0.1 | 5.0-9.0 | 0.1 |
| NKY® PVP K80 | 75-83 | 95-100 | 0.1 | 5.0-9.0 | 0.1 |
| NKY® PVP K90 | 88-96 | 95-100 | 0.1 | 5.0-9.0 | 0.1 |
NKY®PVP与染料的作用机理。
PVP分子中的内酰胺基团具有强极性,能够与染料分子中的有机官能团如羟基、氨基、羧基之间形成氢键;内酰胺基团中的羰基也具有较强的螯合能力,能够与金属络合染料中的金属原子螯合,达到抓取染料的目的。PVP对还原、硫化、直接、酸性等染料有很强的结合能力。

PVP抓取染料示意图
PVP在纺织、印染工业中的作用。
1 PVP能够改进许多疏水纤维的可染性。
使用接枝共聚法,表面接枝法,与其他合成树脂混合纺丝法,湿纺纤维浸渍法,或涂敷法等将PVP(或其共聚体)引入合成纤维,使合成纤维可以均匀地染色,并提高染色深度。
例如,聚丙烯、聚酰胺、聚氯乙烯等材质制作的纤维不易着色,在这些树脂中加入7.5%~10%的PVP K30进行纺丝采用酸性染料或分散性染料染色,染色深度可增加3~10倍。
除了提高合成纤维的可染性外,PVP还能改进合成纤维的其它性质。如PVP与尼龙66的接枝共聚物不但能用酸性、直接、还原染料染色,而且对其吸湿性、防皱性、定型性、易洗性、漂白后的强度和耐日晒能力都有提高。又如用10%PVP混抽的粘胶纤维,其吸湿量从3ml/g,增加到5~6ml/g。再如,丙烯腈与氯乙烯的共聚物纤维在受热条件下遇水或水蒸汽会产生失透、失光现象。加入3~5%PVP后,其纤维就无上述现象发生。
2 PVP用作酸性染料、金属络合染料的匀染剂。
以聚酰胺纤维(锦纶)染色为例,PVP对酸性染料在锦纶织物上的染色具有明显的缓染作用,降低染料的初期上染速率,减缓上染过程,达到匀染的目的。
以聚酯纤维为例,PVP作为匀染剂,染色后的织物不但色泽均匀,且日晒牢度从原来的2级提高到8级,其抗静电性也大大增加。
3 PVP用作印花防沾染剂(抗染料转移抑制剂)。
织物经印花后,要进行水洗或皂洗退浆,洗去未固着颜料,以提高色牢度恢复手感。将PVP添加到皂洗液中,能够防止过度剥色,并捕捉游离染料,防止串色和白地沾污。
4 PVP用于织物后整理。
在织物后整理过程中,将0.1~0.2%的PVP,柔软剂、抗静电剂、树脂整理剂、荧光增白剂组成的整理浴,对织物进行加工整理。处理后织物的白度、荧光度、柔软性、静电带电量、强度等都达到或超过其性能指标。
其他产品
导航
导航
提交信息
提交信息