口腔护理

OraRez® MS

商品名: OraRez® MS

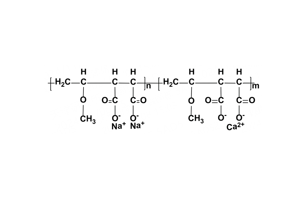
化学名称:乙烯基甲醚和马来酸共聚物钙/钠混合盐

CAS-NO.: 62386-95-2

性质:易溶于水,与水接触后粘合力迅速增大,且粘合力值流失缓慢;不溶于白油,凡士林等油性基质。

分享:

产品详情

产品规格:


项目规格
外观白色或类白色自由流动粉末
pH(1%水溶液)6.0~7.0
水分(%max)10
钙含量(%)11~16
振实密度(g/cm3)≥0.5
总菌落数(CFU/g)≤500
大肠杆菌数(CFU/g)
金黄色葡萄球菌数(CFU/g)
沙门氏菌数(CFU/g)


应用:

OraRez® MS是一种出色的口腔黏膜粘合剂,适用于义齿粘合剂配方。

OraRez ®MS分子内的离子桥致使粘附和内聚粘附,从而产生持久耐用的口腔义齿粘附系统。

OraRez ®MS充当假牙和牙龈之间的粘性垫,将假牙牢固地粘附在牙龈上,并减少因假牙松动而引起刺激的可能性。

OraRez® MS 还可用于创伤涂覆粘合剂。

其他产品

KoVidone® -I

KoVidone® -I

INCI/CTFA名:聚维酮碘

OraRez® AN

OraRez® AN

产品名称:PVM/MA共聚物

OraRez® W

OraRez® W

化学名称: 乙烯基甲醚和马来酸酐的共聚物游离二酸

WhiVidone®

WhiVidone®

聚乙烯吡咯烷酮与过氧化氢络合物,PVP/H2O2 络合物

联系我们

联系我们

电话:0391-8696 320

邮箱:sales@boai-nky.com

地址:中国河南焦作博爱文化路东1888号, 邮政编码454450

提交信息

提交信息

Copyright ©博爱新开源制药有限公司 版权所有 | 网站地图 备案号:豫ICP备2025139250号-1