医药
个人护理
食品和饮料
能源
工业及农业
English
产品
到今天为止,新开源制药高品质的产品及服务,已通过牙膏、啤酒、净水器、新能源汽车等下游产品,走进全球亿万消费者的日常生活中,这是让每一位新开源人无比自豪的成就,更是激励新开源人精益求精的责任感。
KoVidone® -I
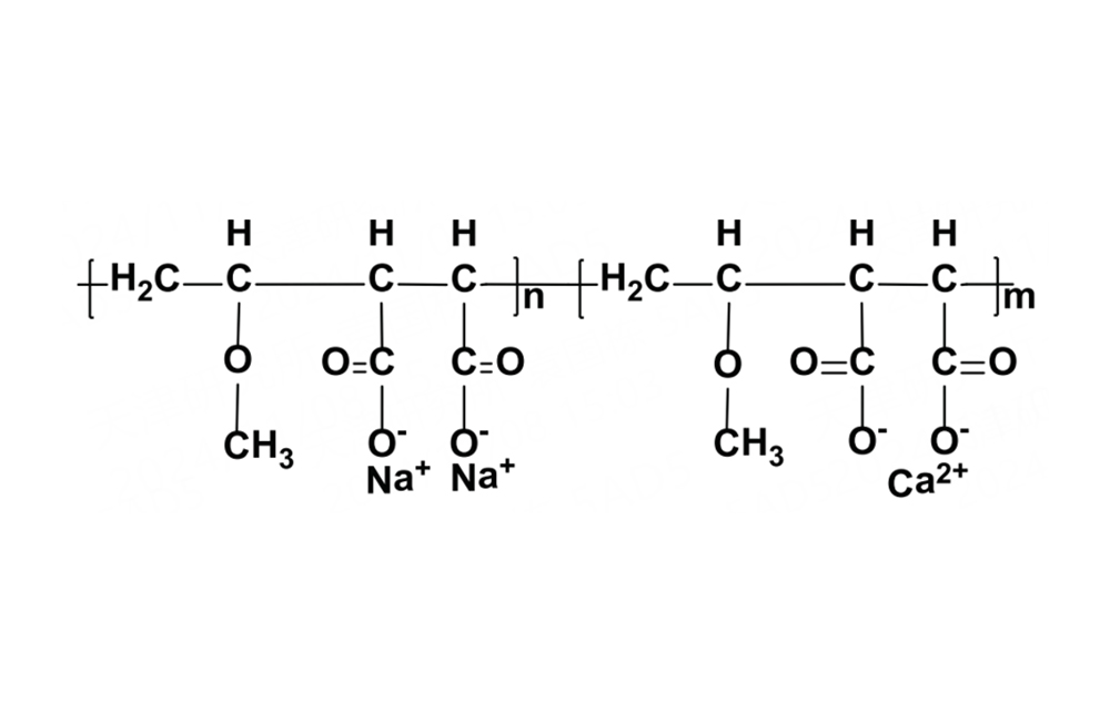
KoVidone® VA64
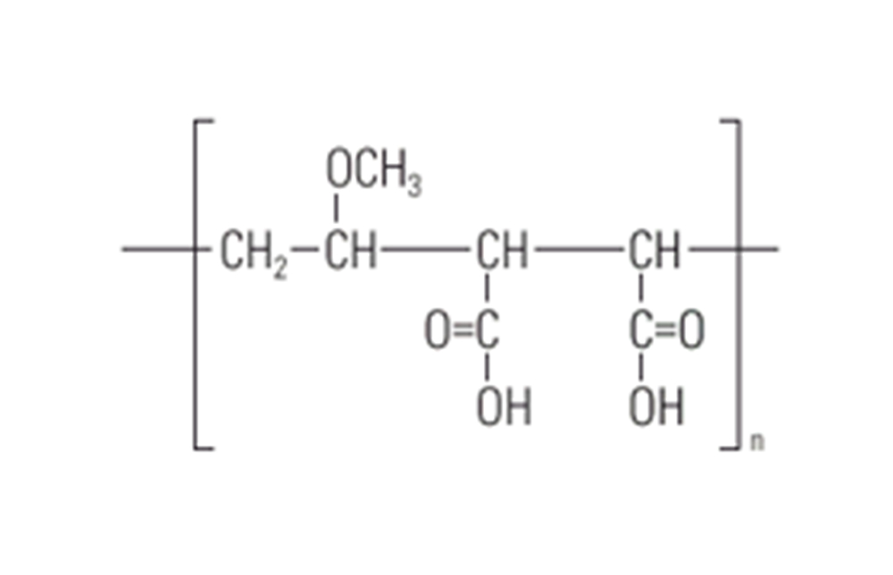
PolyKoVidone®
OraRez® AN
OraRez® MS
OraRez® W
WhiVidone® 维酮白
KoVidone® K
DermaRez® SP-216
DermaRez® SP-220
PolyViscol® K
PolyViscol® VA
产品分类
联系我们
0391-8696 320
sales@boai-nky.com
中国河南焦作博爱文化路东1888号, 邮政编码454450
证书&认证展示
ISO9001
ISO14001
ISO22000
ISO45001
安全生产许可证
排污许可证
食品生产许可证
药品生产许可证
博爱新开源产品登记注册情况
Halal
Kosher
科研实力
自成立以来,新开源即确立了“用心 创新”的企业精神,尊重知识产权,重视研发团队建设,以长期主义指导研发资源投入,目前公司拥有河南博爱、天津和上海三个研发中心。经过多年累积,新开源已在新聚合物研发、新产品产能放大、生产技术自动控制、产品批次间稳定性等产业核心竞争力方面,建立起可靠的护城河。
导航
关于我们
产品展示
电话:0391-8696 320
邮箱:sales@boai-nky.com
地址:中国河南焦作博爱文化路东1888号, 邮政编码454450
提交信息